cmd英かな on Hammerspoon
configのコード
configのコード
自分の発表部分を抜き出すためのスクリプトメモ
VSCodeで開くボタンをMacのFinderに追加する方法のメモ
torch.nn.functional.kl_divのメモ
How RoPE is implemented in practice.
PCAの基礎と実装について
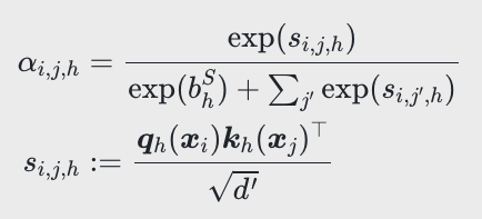
The bias term for preventing attention sink in GPT-OSS may have other effects than just preventing attention sink.
Removing bias term from LogitLens.
Relationship between RMSNorm and LayerNorm and rewritten LayerNorm using centering matrix.
7sProのメモ